EASA Image Gallery

M03-B1B2-Electrical Fundamentals

Figure 1-1. A water molecule.
Figure 1-1. A water molecule.
1
Figure 1-2. Periodic table of elements.
Figure 1-2. Periodic table of elements.
2
Figure 1-3. Hydrogen atom.
Figure 1-3. Hydrogen atom.
3
Figure 1-4. Oxygen atom.
Figure 1-4. Oxygen atom.
4
Figure 2-1. Lightning is a natural occurrence of static electricity.
Figure 2-1. Lightning is a natural occurrence of static electricity.
5
Figure 2-2. Reaction of like and unlike charges.
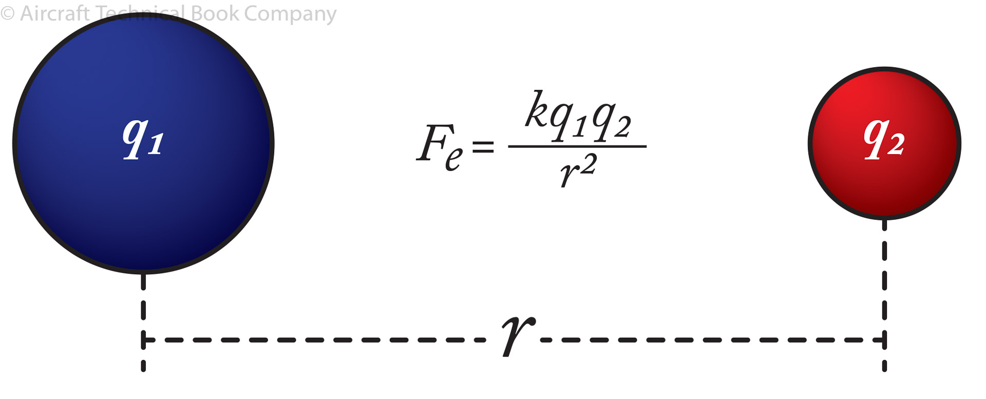
Figure 2-2. Reaction of like and unlike charges.
6
Figure 2-3. Direction of electric field around positive and negative charges.
Figure 2-3. Direction of electric field around positive and negative charges.
7
Figure 2-4. Field around two positively charged bodies.
Figure 2-4. Field around two positively charged bodies.
8
Figure 2-5. Even distribution of charge on metal disk.
Figure 2-5. Even distribution of charge on metal disk.
9
Figure 2-6. Charge on a hollow sphere.
Figure 2-6. Charge on a hollow sphere.
10
Figure 2-7. Charge on irregularly shaped objects.
Figure 2-7. Charge on irregularly shaped objects.
11
Figure 2-8. Charging by contact.
Figure 2-8. Charging by contact.
12
Figure 2-9. Charging a bar by induction.
Figure 2-9. Charging a bar by induction.
13
Figure 3-1. Prefixes and symbols for multiples of basic quantities.
Figure 3-1. Prefixes and symbols for multiples of basic quantities.
14
Figure 3-2. Difference of pressure.
Figure 3-2. Difference of pressure.
15
Figure 3-3. The relation between volts, current, and ohms passing through a conductor (wire).
Figure 3-3. The relation between volts, current, and ohms passing through a conductor (wire).
16
Figure 3-4. Electron movement.
Figure 3-4. Electron movement.
17
Figure 3-5. Per Coulomb's law; the closer two charges are, the stronger the force between them.
Figure 3-5. Per Coulomb's law; the closer two charges are, the stronger the force between them.
18
Figure 3-6. Conventional flow theory versus electron flow theory.
Figure 3-6. Conventional flow theory versus electron flow theory.
19
Figure 4-1. The operation of a solar cell.
Figure 4-1. The operation of a solar cell.
20
Figure 4-2. A typical thermocouple sensor and receiving device.
Figure 4-2. A typical thermocouple sensor and receiving device.
21
Figure 4-3. Piezoelectric materials when squeezed generate an electrical field.
Figure 4-3. Piezoelectric materials when squeezed generate an electrical field.
22
Figure 4-4. In this standard galvanic cell, electrons can flow through a wire and do electrical work.
Figure 4-4. In this standard galvanic cell, electrons can flow through a wire and do electrical work.
23
Figure 4-5. A simple generator converts mechanical energy and magnetism into electrical energy.
Figure 4-5. A simple generator converts mechanical energy and magnetism into electrical energy.
24
Figure 5-1. Primary cell; a common household battery.
Figure 5-1. Primary cell; a common household battery.
25
Figure 5-2. Lead-acid cell construction.
Figure 5-2. Lead-acid cell construction.
26
Figure 5-3. Non-spill battery vent plug.
Figure 5-3. Non-spill battery vent plug.
27
Figure 5-4. Connection of storage battery.
Figure 5-4. Connection of storage battery.
28
Figure 5-5. A battery quick-disconnect assembly.
Figure 5-5. A battery quick-disconnect assembly.
29
Figure 5-6. Hydrometer (specific gravity readings).
Figure 5-6. Hydrometer (specific gravity readings).
30
Figure 5-7. Battery charging methods.
Figure 5-7. Battery charging methods.
31
Figure 5-8. The charge and discharge cycle of a NiCad battery.
Figure 5-8. The charge and discharge cycle of a NiCad battery.
32
Figure 5-9. A 28 volt lithium ion battery designed for turbine aircraft capable of 44 ampere hours of power.
Figure 5-9. A 28 volt lithium ion battery designed for turbine aircraft capable of 44 ampere hours of power.
33
Figure 5-10. The wiring pattern of series versus parallel circuits.
Figure 5-10. The wiring pattern of series versus parallel circuits.
34
Figure 5-11. A typical photocell and its components; this one with a resistance of 200KΩ when dark to 10KΩ when exposed to light
Figure 5-11. A typical photocell and its components; this one with a resistance of 200KΩ when dark to 10KΩ when exposed to light
35
Figure 6-1. Simple DC circuit.
Figure 6-1. Simple DC circuit.
36
Figure 6-2. Simple DC circuit with additional resistor.
Figure 6-2. Simple DC circuit with additional resistor.
37
Figure 6-3. Example of three resistors in series.
Figure 6-3. Example of three resistors in series.
38
Figure 6-4. Voltage sources in series add algebraically.
Figure 6-4. Voltage sources in series add algebraically.
39
Figure 6-5. Voltage sources add algebraically; one source reversed.
Figure 6-5. Voltage sources add algebraically; one source reversed.
40