EASA Image Gallery

M03-B1B2-Electrical Fundamentals

Figure 10-20. Left-hand rule.
Figure 10-20. Left-hand rule.
121
Figure 10-21. Direction of current flow in a conductor.
Figure 10-21. Direction of current flow in a conductor.
122
Figure 10-22. Magnetic field around a looped conductor.
Figure 10-22. Magnetic field around a looped conductor.
123
Figure 10-23. Magnetic field around a conductor with two loops.
Figure 10-23. Magnetic field around a conductor with two loops.
124
Figure 10-24. Magnetic field of a coil.
Figure 10-24. Magnetic field of a coil.
125
Figure 10-25. Electromagnet.
Figure 10-25. Electromagnet.
126
Figure 10-26. Left-hand rule applied to a coil.
Figure 10-26. Left-hand rule applied to a coil.
127
Figure 10-27. Magnetomotive force.
Figure 10-27. Magnetomotive force.
128
Figure 10-28. Magnetic field pictured through the pattern of iron filings.
Figure 10-28. Magnetic field pictured through the pattern of iron filings.
129
Figure 10-29. The hysteresis loop.
Figure 10-29. The hysteresis loop.
130
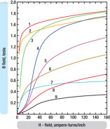
Figure 10-30. Magnetization saturation curves of 9 materials: 1-Sheet steel, 2-Silicon steel, 3-Cast steel, 4-Tungsten steel, 5-Magnet steel, 6-Cast iron, 7-Nickel, 8-Cobalt, and 9-Magnetite.
Figure 10-30. Magnetization saturation curves of 9 materials: 1-Sheet steel, 2-Silicon steel, 3-Cast steel, 4-Tungsten steel, 5-Magnet steel, 6-Cast iron, 7-Nickel, 8-Cobalt, and 9-Magnetite.
131
Figure 10-31. Eddy currents (red) induced in a conductive metal plate (C) as it moves to right under a magnet.
Figure 10-31. Eddy currents (red) induced in a conductive metal plate (C) as it moves to right under a magnet.
132
Figure 10-32. The use of a keeper bar during storage.
Figure 10-32. The use of a keeper bar during storage.
133
Figure 11-1. Many loops of a coil.
Figure 11-1. Many loops of a coil.
134
Figure 11-2. Inductor curve.
Figure 11-2. Inductor curve.
135
Figure 11-3. Typical symbol for an inductor.
Figure 11-3. Typical symbol for an inductor.
136
Figure 11-4. AC circuit containing inductance.
Figure 11-4. AC circuit containing inductance.
137
Figure 11-5. Inductances in series.
Figure 11-5. Inductances in series.
138
Figure 11-6. Inductances in parallel.
Figure 11-6. Inductances in parallel.
139
Figure 11-7. Due to proximity, voltage generated through Coil 1 is induced via magnetic fields into Coil 2.
Figure 11-7. Due to proximity, voltage generated through Coil 1 is induced via magnetic fields into Coil 2.
140
Figure 11-8. Opposing fields flow in opposite directions.
Figure 11-8. Opposing fields flow in opposite directions.
141
Figure 11-9. Eddy currentsĀ form perpendicular to the electromagnetic field.
Figure 11-9. Eddy currentsĀ form perpendicular to the electromagnetic field.
142
Figure 11-10. A typical inductor placed on a circuit board.
Figure 11-10. A typical inductor placed on a circuit board.
143
Figure 12-1. Inducing maximum voltage in an elementary generator.
Figure 12-1. Inducing maximum voltage in an elementary generator.
144
Figure 12-2. Inducing minimum voltage in an elementary generator.
Figure 12-2. Inducing minimum voltage in an elementary generator.
145
Figure 12-3. Inducing maximum voltage in the opposite direction.
Figure 12-3. Inducing maximum voltage in the opposite direction.
146
Figure 12-4. Inducing a minimum voltage in the opposite direction.
Figure 12-4. Inducing a minimum voltage in the opposite direction.
147
Figure 12-5. Output of an elementary generator.
Figure 12-5. Output of an elementary generator.
148
Figure 12-6. Basic DC generator.
Figure 12-6. Basic DC generator.
149
Figure 12-7. Operation of a basic DC generator.
Figure 12-7. Operation of a basic DC generator.
150
Figure 12-8. Increasing the number of coils reduces the ripple in the voltage.
Figure 12-8. Increasing the number of coils reduces the ripple in the voltage.
151
Figure 12-9. Typical 24-volt aircraft generator.
Figure 12-9. Typical 24-volt aircraft generator.
152
Figure 12-10. A two-pole and a four-pole frame assembly.
Figure 12-10. A two-pole and a four-pole frame assembly.
153
Figure 12-11. A field coil removed from a field pole.
Figure 12-11. A field coil removed from a field pole.
154
Figure 12-12. An eight-section, ring-type armature.
Figure 12-12. An eight-section, ring-type armature.
155
Figure 12-13. A drum-type armature.
Figure 12-13. A drum-type armature.
156
Figure 12-14. Commutator with portion removed to show construction.
Figure 12-14. Commutator with portion removed to show construction.
157
Figure 12-15. Diagram and schematic of a series wound generator.
Figure 12-15. Diagram and schematic of a series wound generator.
158
Figure 12-16. Shunt wound generator.
Figure 12-16. Shunt wound generator.
159
Figure 12-17. Compound wound generator.
Figure 12-17. Compound wound generator.
160